Svar till: Surfande meteoroid den 21 november 2025
Hem › Observationer › Meteorer, norrsken och atmosfäriska fenomen › Surfande meteoroid den 21 november 2025 › Svar till: Surfande meteoroid den 21 november 2025
27 november, 2025 kl. 20:19
#13713
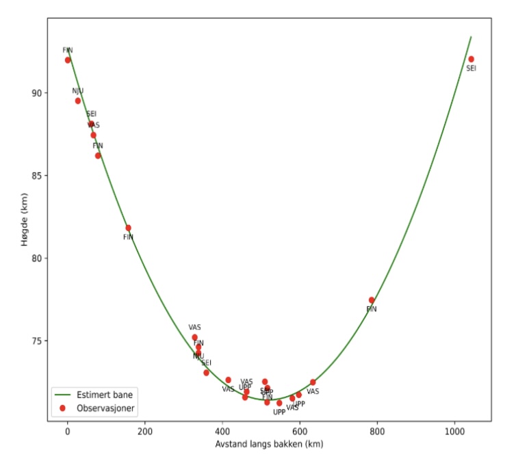
Nu finns en mera omfattande analys klar, än så länge dock utan data från Sandvreten och Hoberg. Även material från Lettland lär vara på ingång.
Fallvinkeln var 0.0 grader!
Klipp från det norska meteornätverkets hemsida bifogas.
https://norskmeteornettverk.no/meteor/20251121/225124/
Välj ”original” på norska hemsidan för att se filmer.
-
Det här svaret redigerades för 5 månader av
Hans Bengtsson.
-
Det här svaret redigerades för 5 månader av
Hans Bengtsson.
-
Det här svaret redigerades för 5 månader av
Hans Bengtsson.
Senaste diskussionerna
-
Uppdateringar av SVO
svar av
Hans Bengtsson
-
X-2.5 Flare
svar av
Fredrik Silow
-
Månadens bild
svar av
Fredrik Silow
-
SH2-261 Lower’s Nebula
tråd av
Mårten Frosth
-
Celestron AVX säljes
tråd av
Patrik
-
Markarians kedja
tråd av
Petter Öhman
-
Astroöl i Malmö!
svar av
Magnus Larsson
Månadens bild i galleriet
Årets bild i galleriet
Senaste nytt från SAAF-webben
- Årets bild på Nattmolnet 2025!
- Sagittariusträffen, 20–22 augusti på Öland
- Apertur nummer 1 2026!
- Variabelmöte 12/5 – öppet för alla, speciellt nyfikna astrofotografer
- Introduktionsmöte om bildbehandling i Siril, 26 mars
- Årsmöte i SAAF – 16 april 2026
- Vårhimlens pärlor – observationskafé med SAAF, 25 februari
- Leoträffen — ny observationsträff med SAAF, 10–11 april på Öland
- Årets första variabelmöte 12 mars – välkommen alla SAAF-medlemmar
- Värmland Star Party 2026
Kalendariet
20 aug 26
Degerhamn
4 sep 26
Mariestad
Antal unika dagsbesökare (unika IP)
Idag: 26 st
Senaste 7 dagarna: 295 st
Senaste 30 dagarna: 3151 st




















